欢迎来到betvictor伟徳网站!
咨询电话:18094238319



量化美国主要石油生产区域(包括Bakken、Eagle Ford和Permian盆地)的天然气燃烧产生的氮氧化物(NOx)排放,研究者们旨在通过实地采样,了解这些区域的NOx排放因子,并评估这些排放对空气质量和气候的影响。

在此,研究者们对研究区域中的火炬进行了现场取样,量化了美国主要产油区(Bakken、Eagle Ford和Permian盆地)火炬燃烧产生的氮氧化物。通过采用自下而上的核算方法以及机载、地面和卫星测量方法,对石油和天然气行业的氮氧化物进行了调查研究,发现石油和天然气活动导致的氮氧化物区域性升高。

图1.美国火炬燃烧趋势。(a) VIIRS 观察到的燃烧位置(红色三角形)和 F3UEL 机载采样位置(黑色圆圈)。Bakken(紫色)、Eagle Ford(绿色)和Permian盆地(黄色)的阴影框表示相关区域。(b) 根据 VIIRS 观测数据估算的 2012 年至 2020 年三个研究区域的耀斑量。与美国的总燃烧量(黑线)相比,这三个地区的燃烧活动占美国燃烧活动的绝大部分,并推动了美国的燃烧趋势。
研究者们开展了两次以燃烧为重点的机载采样活动,分别针对Eagle Ford和Permian盆地(2020年8月25日至9月4日)以及Bakken盆地(2021年6月28日至7月15日)开展了两次空中测量活动。他们使用装有高精度仪器包括CH4、CO2(Picaro G2401-m)、NO(ECOphysics 88 NOe)、NO2(Teledyne T5000U)以及气象参数的小型飞机(Scientific Aviation)进行航测。飞机在火炬低空(通常200-1000米)下风方向飞行,使用火焰作为引导。调整高度直到观察到CO2峰值,以确保拦截到燃烧羽流。他们尝试了多个下风航段,以增加拦截烟羽的可能性,并提供重复采样。通过这种方式,研究者们能够评估盆地规模的NOx生产情况。如下图所示:

图2. F3UEL 机载火炬采样。(a) 2020年9月4日在Permian盆地进行的机载火炬采样,飞行轨迹以观测到的二氧化碳浓度着色。白色方框表示二氧化碳时间序列中峰值归因于耀斑的位置。(b) 二氧化碳(上)、氮氧化物(中)和甲烷(下)的相应浓度时间序列(相对于该站点的采样开始时间),其中红色方格表示从二氧化碳信号中得出的耀斑峰值。

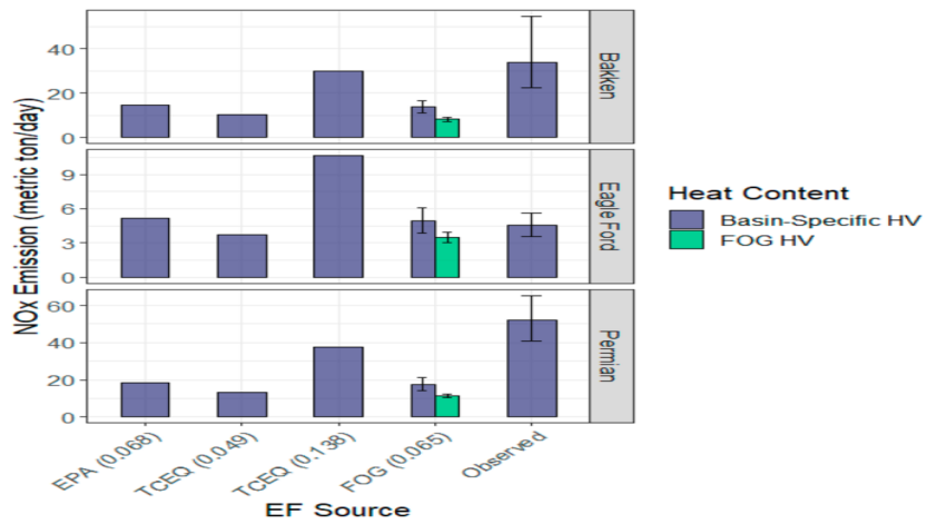
流域级氮氧化物排放量估算:使用我们通过观察得出的特定流域排放因子和特定流域热值假设计算的氮氧化物燃烧排放量与使用监管机构和FOG清单中使用的数值计算的类似排放量进行了比较(图3)。为了进行比较,对 FOGinventory 进行了更新,以纳入 VIIRS 提供的 2020 年和 2021 年年度燃烧量输入。我们的分析结果与使用EPA和FOG假设的Eagle Ford燃烧氮氧化物排放量相当。然而,对于Permian盆地和Bakken地区,我们的排放量估计值是基于 EPA 和 FOG 数值的两倍。

图3. 2020年流域级燃烧氮氧化物排放估算,比较假定排放因子(X 轴)和气体热值(绿色:FOG值,26700± 14000 Btu/m3 ;蓝色:本文使用的流域特定值)的影响。
我们截获的大部分燃烧羽流都在TCEQ采用的排放因子范围内(0.0485-0.138 lb NOx/MMBtu);然而,在Bakken和Permian(见图2)观察到的分布尾部较重,导致盆地平均排放因子比 EPA 和 FOG 清单采用的值大2-3 倍。


G2401-m仪器被用于机载连续测量CO2浓度。如图2所示Picarro G2401-m仪器的数据,其中显示了在Permian盆地进行的一次燃烧羽流采样飞行轨迹,以及相应的CO2、NOx和CH4的时间序列。这些数据用于确定燃烧羽流的CO2峰值,从而支持研究者们对NOx排放因子的估计。这些数据支持了研究的结论,即在Bakken和Permian盆地,NOx排放因子的分布呈现出重尾特性,这意味着盆地平均排放因子是EPA使用的值的2-3倍。此外,通过将这些数据与卫星评估的燃烧体积相结合,研究者们发现,20%-30%的燃烧器贡献了80%盆地范围内的NOx排放。这些发现表明,通过其他气体捕获方法减少燃烧体积,石油和天然气的NOx排放量将会对当前库存数据产生更大的影响。

Picarro G2401-m 高精度温室气体浓度分析仪,可同时测量四种气体(CO、CO2、CH4和H2O),精度、准确度和便携性。G2401-m可在高海拔地区测量,属于优秀的机载仪器。G2401-m采用光腔衰荡光谱(CRDS)技术,以达十亿分之一(ppb)的灵敏度测量气体浓度,其漂移可忽略不计。而且,Picarro的算法可以对CO、CH4和CO2的浓度自动进行水汽影响校正。

电话
微信扫一扫